Παρασκευή, 08-Νοε-2019 12:00
Πώς αλλάζουν μισθοί - συντάξεις - εισοδήματα με τη νέα κλίμακα

Tου Σπύρου Δημητρέλη
Μεγάλους και μικρότερους κερδισμένους έχει η νέα φορολογική κλίμακα που περιλαμβάνεται στο φορολογικό νομοσχέδιο που δόθηκε χθες σε δημόσια διαβούλευση και θα τεθεί σε ισχύ από τα εισοδήματα του 2020. Από τη νέα φορολογική κλίμακα προκύπτουν από το νέο έτος ελαφρύνσεις για τους περισσότερους μισθωτούς και συνταξιούχους (πλην των μισθωτών με ένα παιδί και εισόδημα άνω των 20.000 ευρώ) ενώ κερδισμένοι είναι όλοι οι ελεύθεροι επαγγελματίες που θα δουν όμως τις μειώσεις του φόρου εισοδήματος (ακόμη και άνω των 1.700 ευρώ) με το εκκαθαριστικό του 2021.
Η νέα κλίμακα έχει ως εξής:
Εισόδημα | Συντελεστής |
Έως 10.000 | 9% (από 22% που ισχύει σήμερα) |
10.001-20.000 | 22% |
20.001-30.000 | 28% (από 29% |
30.001-40.000 | 36% (από 37%) |
40.001+ | 44% (από 45%) |
Η έκπτωση φόρου για μισθωτούς-συνταξιούχους που οδηγεί σε αφορολόγητο όριο διαμορφώνεται ως εξής:
- Άγαμος: 777 ευρώ που συνεπάγεται αφορολόγητο όριο 8.636 ευρώ.
- Έγγαμος με 1 παιδί: 810 ευρώ για να προκύπτει αφορολόγητο 9.000 ευρώ.
- Έγγαμος με 2 παιδιά: 900 ευρώ για να προκύψει αφορολόγητο όριο 10.000 ευρώ.
- Έγγαμος με 3 παιδιά: 1.120 ευρώ που οδηγεί σε αφορολόγητο 11.000 ευρώ.
- Έγγαμος με 4 παιδιά: 1.340 ευρώ που οδηγεί σε αφορολόγητο όριο 12.000 ευρώ.
- Για κάθε επιπλέον τέκνο η έκπτωση φόρου προσαυξάνεται κατά 220 ευρώ
Τα ποσά της έκπτωσης φόρου θα δίνονται στο σύνολό τους για εισόδημα από μισθούς ή συντάξεις έως 12.000 ευρώ. Για εισοδήματα άνω των 12.000 ευρώ οι εκπτώσεις φόρου θα περιορίζονται κατά 20 ευρώ ανά 1.000 ευρώ επιπλέον εισοδήματος.
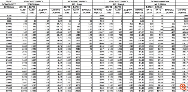
Οι αλλαγές στο φορολογικό βάρος μισθωτών, συνταξιούχων και ελευθέρων επαγγελματιών στους πίνακες που ακολουθούν
Μισθωτοί - συνταξιούχοι
Ελεύθεροι επαγγελματίες
ΕΤΗΣΙΟ | Φόρος 2019 | Φόρος 2020 | Διαφορά 2019/2020 |
ΦΟΡΟΛΟΓΗΤΕΟ | |||
ΕΙΣΟΔΗΜΑ | |||
5000 | 1100 | 450 | -650 |
8000 | 1760 | 720 | -1040 |
9000 | 1980 | 810 | -1170 |
10000 | 2200 | 900 | -1300 |
11000 | 2420 | 1120 | -1300 |
12000 | 2640 | 1340 | -1300 |
13000 | 2860 | 1560 | -1300 |
14000 | 3080 | 1780 | -1300 |
15000 | 3300 | 2000 | -1300 |
16000 | 3520 | 2220 | -1300 |
17000 | 3740 | 2440 | -1300 |
18000 | 3960 | 2660 | -1300 |
19000 | 4180 | 2880 | -1300 |
20000 | 4400 | 3100 | -1300 |
21000 | 4690 | 3380 | -1310 |
22000 | 4980 | 3660 | -1320 |
23000 | 5270 | 3940 | -1330 |
24000 | 5560 | 4220 | -1340 |
25000 | 5850 | 4500 | -1350 |
26000 | 6140 | 4780 | -1360 |
27000 | 6430 | 5060 | -1370 |
28000 | 6720 | 5340 | -1380 |
29000 | 7010 | 5620 | -1390 |
30000 | 7300 | 5900 | -1400 |
35000 | 9150 | 7700 | -1450 |
40000 | 11000 | 9500 | -1500 |
45000 | 13250 | 11700 | -1550 |
50000 | 15500 | 13900 | -1600 |