Συνεχης ενημερωση

    Τετάρτη, 15-Δεκ-2021 11:50

    Μελέτη Τσιόδρα-Λύτρα για τη θνητότητα στις ΜΕΘ: Τεράστια υγειονομική ανισότητα μεταξύ Αττικής και υπόλοιπης Ελλάδας

    Μελέτη Τσιόδρα-Λύτρα για τη θνητότητα στις ΜΕΘ: Τεράστια υγειονομική ανισότητα μεταξύ Αττικής και υπόλοιπης Ελλάδας
    • Εκτύπωση
    • Αποστολή με email
    • Προσθήκη στη λίστα ανάγνωσης
    • Μεγαλύτερο μέγεθος κειμένου
    • Μικρότερο μέγεθος κειμένου

    Σοκάρει η ανάλυση των στοιχείων της πανδημίας που περιλαμβάνεται σε μελέτη του καθηγητή Παθολογίας Λοιμώξεων Σωτήρη Τσιόδρα και του αναπληρωτή καθηγητή Επιδημιολογίας Θεόδωρου Λύτρα.

    Η μελέτη δείχνει ότι η θνητότητα στους διασωληνωμένους ασθενείς στην Ελλάδα παρουσιάζει κατά περιόδους αύξηση από 57% έως και 87%, αναλόγως με την πληρότητα στις ΜΕΘ αλλά και με το εάν ο ασθενής βρίσκεται εντός ή εκτός της Μονάδας Εντατικής Θεραπείας.

    Ειδικά για το διάστημα από τον Σεπτέμβριο του 2020 έως τον Μάιο του 2021, θα μπορούσαν να είχαν σωθεί πάνω από 1.500 ανθρώπινες ζωές, εάν η πίεση στο σύστημα Υγείας δεν ήταν ισχυρή.

    Ο κ. Λύτρας αναφέρει ότι την ανάλυση, που έγινε στα τέλη Μαΐου, την γνωστοποίησαν "άμεσα και επανειλημμένα σε όλους όσους λαμβάνουν τις αποφάσεις στο ανώτατο επίπεδο".

    Κραυγαλέα και απαράδεκτη υγειονομική ανισότητα μεταξύ Αττικής και υπόλοιπης Ελλάδας

    "Έχουμε κραυγαλέα και απαράδεκτη υγειονομική ανισότητα μεταξύ Αττικής και υπόλοιπης Ελλάδας. Με άλλα λόγια, το αν θα επιβιώσεις της διασωλήνωσης φαίνεται πως εξαρτάται από το που ζεις, και σε ποια περίοδο (με τι φόρτο στο ΕΣΥ) έτυχε να αρρωστήσεις. Το αν αυτό είναι αποδεκτό, ας το κρίνει ο κάθε πολίτης κ ας βγάλει τα όποια συμπεράσματα", σημειώνει ο καθηγητής Λύτρας σε ανάρτησή του στο Τwitter, συμπυκνώνοντας τα ευρήματα της μελέτης.

    Όπως αναφέρει ο κ. Λύτρας, "νοσηλεία εκτός ΜΕΘ σχετιζόταν με 87% αυξημένη θνητότητα - παρ' ότι αυτό αφορούσε λίγους ασθενείς, μόνο περίπου το 5% των διασωληνωμένων (οι υπόλοιποι ήταν εντός ΜΕΘ) και "εν μέρει" ίσως αφορά διαλογή των πιο βαριά πασχόντων ασθενών, άρα μη αιτιακή σχέση, άρα πρέπει να ερμηνευθεί με προσοχή. Από τους 3.988 θανάτους διασωληνωμένων που αναλύθηκαν, 1.535 αποδίδονται αθροιστικά στους 3 αυτούς παράγοντες. Δηλαδή, εκτιμάται πως τόσοι θα γλίτωναν, αν όλοι νοσηλεύονταν με χαμηλό φόρτο στο ΕΣΥ (κάτω από 200 διασωληνωμένους), σε νοσοκομεία Αττικής και εντός ΜΕΘ".

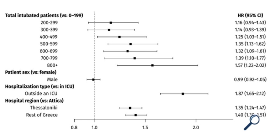
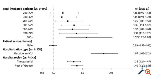
    Τα ευρήματα που συνοψίζονται στο διάγραμμα:

    - Όσο περισσότεροι διασωληνωμένοι στο ΕΣΥ, τόσο αυξάνει κλιμακωτά η πιθανότητα θανάτου ανά μέρα νοσηλείας: +25% για μέχρι 400 διασωληνωμένους, +57% για έως 800 διασωληνωμένους ασθενείς.
    - Διασωλήνωση σε νοσοκομείο εκτός Αττικής σχετιζόταν με +35-40% θνητότητα.
    - Νοσηλεία εκτός ΜΕΘ σχετιζόταν με 87% αυξημένη θνητότητα — παρ'ότι αυτό (α) αφορούσε λίγους, μόνο ~5% των διασωληνωμένων (οι υπόλοιποι ήταν εντός ΜΕΘ), κ (β) *εν μέρει* ίσως αφορά διαλογή των πιο βαριά πασχόντων ασθενών, άρα μη αιτιακή σχέση,άρα πρέπει να ερμηνευθεί με προσοχή.
    - Από τους 3988 θανάτους διασληνωμένων που αναλύθηκαν, 1535 (95%CI: 1053–1947) αποδίδονται αθροιστικά στους 3 αυτούς παράγοντες. Δηλαδή εκτιμάται πως τόσοι θα γλίτωναν αν όλοι νοσηλεύονταν με χαμηλό φόρτο στο ΕΣΥ (<200 διασωληνωμένους), σε νοσοκομεία Αττικής, κ εντός ΜΕΘ.
     


    Στην ανάρτησή του ο Θεόδωρος Λύτρας αναφέρει χαρακτηριστικά:

    "Το αν ενισχύθηκε το ΕΣΥ ή όχι, κι αν αυτό είναι αρκετό, δε θα το πω εγώ. Ας μιλήσουν οι συνάδελφοι που δουλεύουν σ'αυτό, οι ασθενείς που το ζούνε, και οι δημοσιογράφοι, που οφείλουν να κάνουν αντικειμενικό ρεπορτάζ από το πεδίο.

    Εγώ δείχνω τι λένε τα επιδημιολογικά δεδομένα. Και τα δεδομένα δείχνουν πως το ΕΣΥ αδυνατεί να ανταποκριθεί στον φόρτο: με >400 διασωληνωμένους, χάνουμε ασθενείς που αναμένεται να ζούσαν αν νοσηλεύονταν υπό άλλες συνθήκες. Επιπλέον έχουμε κραυγαλέα και απαράδεκτη υγειονομική ανισότητα μεταξύ Αττικής και υπόλοιπης Ελλάδας.

    Με άλλα λόγια, το αν θα επιβιώσεις της διασωλήνωσης φαίνεται πως εξαρτάται από το πού ζεις, και σε ποια περίοδο (με τι φόρτο στο ΕΣΥ) έτυχε να αρρωστήσεις. Το αν αυτό είναι αποδεκτό, ας το κρίνει ο κάθε πολίτης κ ας βγάλει τα όποια συμπεράσματα. Μερικές σημαντικές επισημάνσεις:

    (1) Η ανάλυση αυτή έγινε τέλος Μαϊου, κι ως οφείλαμε σαν λειτουργοί της Δημόσιας Υγείας τη γνωστοποιήσαμε άμεσα κ επανειλημμένα σε όλους όσους λαμβάνουν τις αποφάσεις στο ανώτατο επίπεδο.

    (2) Εφ'όσον εξακολουθούμε να έχουμε πρόσβαση στα σχετικά στοιχεία, είναι αυτονόητο πως η ανάλυση θα επαναληφθεί/επικαιροποιηθεί στο μέλλον, ώστε να δούμε πως ανταπεξέρχεται το σύστημα υγείας και στο τρέχον πανδημικό κύμα.

    Και (3) η (εξαιρετική) ιδέα γι'αυτή την ανάλυση δεν ήταν δική μου αλλά του Σωτήρη Τσιόδρα· εγώ βοήθησα με την υλοποίηση. Αυτό το τονίζω για τους κακεντρεχείς που δεν εννοούν να καταλάβουν οτι ο Σωτήρης Τσιόδρας κι εγω είμαστε ΜΟΝΟ επιστήμονες, με αποκλειστικό μέλημα τη Δημόσια Υγεία.

    ΠΗΓΗ: TheTOC.gr
     

    *Διαβάστε ακόμα

    - Αλ.Τσίπρας: "Προφανώς ο κ. Μητσοτάκης γνώριζε από τον Μάιο για αυξημένη θνητότητα εκτός ΜΕΘ

    * Γ. Οικονόμου: "Πολιτικός ολετήρας ο κ. Τσίπρας"

    ΣΑΣ ΑΡΕΣΕ ΤΟ ΑΡΘΡΟ;

    ΣΧΕΤΙΚΑ ΑΡΘΡΑ