Τετάρτη, 03-Δεκ-2025 07:29
Οι συντάξεις από 1-1-2026 με αυξήσεις και μείωση φόρου - Πίνακας
Του Κώστα Κατίκου
Ετήσιο όφελος που ξεκινά από 260 ευρώ και φτάνει ως 2.054 ευρώ θα έχουν οι συνταξιούχοι από την αύξηση κατά 2,4% και από τη μείωση της παρακράτησης φόρου που θα έχουν στις αποδοχές τους.
Οι πρώτες μηνιαίες αυξήσεις θα πιστωθούν στη σύνταξη του Ιανουαρίου που θα πληρωθεί νωρίτερα από τον ΕΦΚΑ και πιθανότατα μεταξύ 19 και 23 Δεκεμβρίου.
Αυξήσεις θα πάρουν 2,5 εκατ. συνταξιούχοι και από αυτούς με διπλό όφελος από τη μείωση της παρακράτησης φόρου θα είναι περίπου 1,5 εκατ. συνταξιούχοι που λαμβάνουν συντάξεις πάνω από το αφορολόγητο όριο.
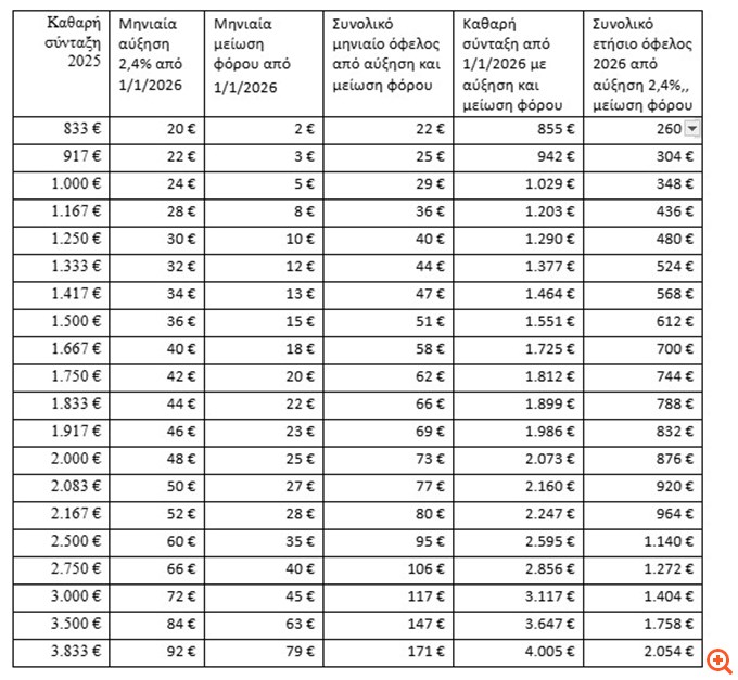
Σύμφωνα με τον σχετικό πίνακα που επεξεργάστηκε και δημοσιεύει το Capital.gr λόγω της αύξησης κατά 2,4%, και της μείωσης της παρακράτησης φόρου στις συντάξεις για το 2026:
-Οι συνταξιούχοι που λαμβάνουν κύρια σύνταξη από 833 ευρώ ως 1.167 ευρώ θα έχουν μηνιαία αύξηση από 22 ευρώ ως 36 ευρώ, και συνολικό ετήσιο όφελος από 260 ευρώ ως 436 ευρώ.
-Οι συνταξιούχοι που λαμβάνουν κύρια σύνταξη από 1250 ευρώ ως 1.667 ευρώ θα έχουν μηνιαία αύξηση από 40 ευρώ ως 58 ευρώ, και ετήσιο όφελος από 480 ευρώ ως 700 ευρώ.
-Οι συνταξιούχοι που λαμβάνουν κύρια σύνταξη από 1.750 ευρώ ως 2.500 ευρώ θα έχουν μηνιαία αύξηση από 62ευρώ ως 95 ευρώ, και ετήσιο όφελος από 744 ευρώ ως 1.140 ευρώ.
-Οι συνταξιούχοι που λαμβάνουν κύρια σύνταξη από 2.750 ευρώ ως 3.833 ευρώ θα έχουν μηνιαία αύξηση από 106 ευρώ ως 171 ευρώ, και ετήσιο όφελος από 1.272 ευρώ ως 2.054 ευρώ.
Στον προϋπολογισμό του 2026 προβλέπεται για πρώτη φορά η χορήγηση τουλάχιστον του 50% της αύξησης σε 671.000 συνταξιούχους με προσωπική διαφορά και από το 2027 θα παίρνουν ολόκληρη την αύξηση καθώς ο συμψηφισμός με την προσωπική διαφορά καταργείται.
Μετά την αύξηση 2,4% οι μέσες συντάξεις λόγω γήρατος ανά ταμείο και ανάλογα με τα έτη ασφάλισης θα διαμορφωθούν από 1/1/2026 ως εξής:
1. Στα 1.247,23 ευρώ για συνταξιούχους ΙΚΑ με 30 έτη ασφάλισης και άνω από 1.218 ευρώ που είναι τώρα και στα 567,30 ευρώ με 20 έτη ασφάλισης από 554 ευρώ τώρα.
2. Στα 1.346,56 για το Δημόσιο με 35 έτη και άνω από 1.315 ευρώ που είναι τώρα με ετήσια αύξηση κατά 378,72 ευρώ για το 2026.
3. Στα 1.406 ευρώ για συνταξιούχους του Δημοσίου με 40 χρόνια, από 1.374 ευρώ που είναι τώρα με ετήσια αύξηση σχεδόν κατά 400 ευρώ για το 2026.
4.Στα 2.671 ευρώ για συνταξιούχους ταμείων ΔΕΚΟ και Τραπεζών, με 30 έτη ασφάλισης και άνω από 2.609 ευρώ που είναι τώρα με ετήσια αύξηση κατά 751,39 ευρώ για το 2026.
5.Στα 1.287 ευρώ για συνταξιούχους ΕΤΑΑ, με 30 έτη ασφάλισης και άνω από 1.257 ευρώ που είναι τώρα με ετήσια αύξηση κατά 362 ευρώ για το 2026.
6.Στα 659,46 ευρώ για συνταξιούχους του ΟΓΑ με 30 έτη ασφάλισης και άνω από 644 ευρώ που είναι τώρα με ετήσια αύξηση κατά 185,47 ευρώ για το 2026.
Οι συνταξιούχοι θα έχουν όφελος και από την Εισφορά Αλληλεγγύης (ΕΑΣ) η οποία θα τιμαριθμοποιηθεί. Η τιμαριθμοποίηση σημαίνει ότι οι κλίμακες κρατήσεων της ΕΑΣ αυξάνονται με το ίδιο ποσοστό αύξησης των συντάξεων.
Αυτό σημαίνει ότι οι συνταξιούχοι που μετά τις αυξήσεις του Δεκεμβρίου θα έχουν σύνταξή ως 1.468 ευρώ δεν θα πληρώσουν ΕΑΣ. Αν δεν υπήρχε η τιμαριθμοποίηση τότε όλοι όσοι θα είχαν συντάξεις από 1.400 ευρώ και πάνω θα πλήρωναν εισφορά 3%. Με την τιμαριθμοποίηση της κλίμακας κρατήσεων, που εφαρμόστηκε για πρώτη φορά το 2025, απαλλάχτηκαν από την εισφορά οι συντάξεις ως τα 1.434 ευρώ και το 2026 το όριο απαλλαγής από την κράτηση ανεβαίνει στα 1.468 ευρώ. Επομένως η εισφορά θα πιάνει τις συντάξεις από τα 1.468 και πάνω.
Οφελος θα έχουν και οι συνταξιούχοι που ανήκουν στη δεύτερη, τρίτη, και επόμενες κλίμακες με συντάξεις πάνω από τα 1.468 ευρώ.
Για παράδειγμα συνταξιούχος που λαμβάνει κύρια σύνταξη 1.740 ευρώ το 2025 έχει κράτηση ΕΑΣ 3% και πληρώνει 52,20 ευρώ. Με μια αύξηση σύνταξης κατά 2,4% για το 2026, η σύνταξη θα ανέλθει στα 1.781,76 ευρώ και η κράτηση θα παραμείνει στο 3% με σχεδόν αμετάβλητο ποσό στα 53,45 ευρώ επειδή με την τιμαριθμοποίηση της ΕΑΣ ο συνταξιούχος θα εξακολουθήσει να υπάγεται στην ίδια κλίμακα με 3%. Χωρίς την τιμαριθμοποίηση θα άλλαζε κλίμακα και θα είχε εισφορά 6%, με διπλάσια κράτηση στα 106,86 ευρώ που τώρα την γλιτώνει.
