Συνεχης ενημερωση
1) Τι συμβαίνει με τις τράπεζες...
Το τελευταίο κραχ στις τραπεζικές μετοχές ξεκίνησε όταν ο SSM ζήτησε από την Τράπεζα Πειραιώς κεφαλαιακή ενίσχυση 500 εκατ. ευρώ μέχρι τέλους του έτους, σύμφωνα με το Bloomberg. Η Τράπεζα βγήκε στις αγορές και ζήτησε προσφορές για ανάλογη ομολογιακή έκδοση. Το επιτόκιο που της προσφέρθηκε φέρεται να ξεπέρασε το 12% και ορθώς θεωρήθηκε απαγορευτικό.
Μέχρι τον Ιούλιο του 2018 οι ελληνικές τράπεζες μείωσαν τις επισφάλειες ("Κόκκινα δάνεια" ή NPLs) κατά 17 δισ. ευρώ. Η διαδικασία αυτή τους στοίχισε περί 7 δισ. ευρώ ίδια κεφάλαια. Τούτο μείωσε την κεφαλαιακή τους επάρκεια από τα 29 στα 22 δισ. ευρώ.
Από τα 22 δισ. ευρώ που διαθέτουν τα 17 δισ. ευρώ οφείλονται στο λογιστικό τέχνασμα του αναβαλλόμενου φόρου. Δηλαδή, κεφάλαια που θα εξοικονομήσουν οι τράπεζες αν δεν πληρώσουν φόρους τα επόμενα 20 χρόνια.
Τουτέστιν, σαν κάποιος να πάει στην αντιπροσωπεία της Mercedes για να αγοράσει ένα αυτοκίνητο 50.000 ευρώ που απαιτεί προκαταβολή 22 χιλ. με 5 χιλ. μετρητά και 17 χιλ. υποσχετική από τους φόρους που δεν θα πληρώσει τα επόμενα 20 χρόνια. Θα του δώσουν αυτοκίνητο ή χαρτί για το Δαφνί;
Το σχέδιο για τις ελληνικές τράπεζες περιλαμβάνει μείωση των "κόκκινων" δανείων από 92,4 δισ. ευρώ στα 64,6 δισ. ευρώ το 2019. Μέχρι το 2021 τα "κόκκινα" δάνεια θα πρέπει να μειωθούν κατά 43 δισ. ευρώ.
Αν για 17 δισ. "κόκκινα" δάνεια έκαψαν 7 δισ. κεφάλαια, για τα 27,8 δισ. ευρώ ή για 43 δισ. ευρώ πόσα θα χρειαστεί να κάψουν;
Εν τω μεταξύ αν από τα 22 δισ. που διαθέτουν τα 17 δισ. είναι "αέρας" από αναβαλλόμενους φόρους κερδών που κανείς δεν εγγυάται πως θα υπάρξουν, έχουν πραγματικά κεφάλαια περί τα 5 δισ. ευρώ...
Η χωρίς επιστροφή αυτή κατάσταση που απειλεί τη χώρα με ολοσχερή κατάρρευση διαμορφώθηκε οριστικά μετά το 2015, ενώ τα μάλα συνέβαλαν το κίνημα δεν πληρώνω και ο νόμος Κατσέλη.
Από αυτό που συμβαίνει στο χρηματιστήριο είναι προφανές πως οι επενδυτές δεν πείθονται πως η κατάσταση είναι διαχειρίσιμη...
Οι τράπεζες θα πρέπει να βρουν αυτόν τον πακτωλό από δισ. ευρώ είτε από εκδόσεις ομολόγων TIER 2, είτε με την πώληση περιουσιακών στοιχείων.
Σε μια περίοδο όμως που τα προγράμματα ποσοτικής χαλάρωσης που κρατούσαν τα επιτόκια στο μηδέν τελειώνουν και υπάρχουν αναταράξεις στις διεθνείς αγορές σαν αυτές της Ιταλίας, της Τουρκίας, της Αργεντινής κλπ, αυτό γίνεται όλο και πιο δύσκολο.
Η άνοδος των επιτοκίων διεθνώς αυξάνει τη διάθεση αποφυγής ρίσκου και επιδεινώνει μια κατάσταση που ήταν δύσκολη ούτως ή άλλως...
Αυτό είναι το ένα πρόβλημα, το άλλο είναι η πορεία βέβαιης βύθισης της ελληνικής οικονομίας.
Η ελληνική οικονομία...
Το κλίμα στην ελληνική οικονομία δεν μοιάζει ιδανικό όπως προσπαθεί να μας το περιγράψει η κυβέρνηση. Το 2017 από αρχικές προβλέψεις για ανάπτυξη 2,6% πετύχαμε ανάπτυξη μόνο 1,4%. Ανάπτυξη 1,4% για την ελληνική οικονομία μετά από συσσωρευμένη πτώση του ΑΕΠ πάνω από 25% δεν είναι ακριβώς στοιχείο εξόδου από την κρίση αλλά ιατρική γνωμάτευση θανάτου...
Οι τράπεζες ίσως να είχαν κάποια ελπίδα αν το 2016 και το 2017 η Ελλάδα είχε παρουσιάσει ανάπτυξη 4-5% κάθε χρόνο. Τούτο όμως με τον τρόπο που εφαρμόστηκαν τα μνημόνια και δεν έγιναν οι μεταρρυθμίσεις ήταν και παραμένει απίθανο...
Το έχουμε γράψει πολλάκις τα τελευταία χρόνια, το βασικότερο σημάδι πως η χώρα αφήνει πίσω τα χειρότερα δεν είναι το ύψος των εποπτικών κεφαλαίων των τραπεζών από αναβαλλόμενους φόρους αλλά οι επενδύσεις.
Αν αυξηθούν οι επενδύσεις αργά ή γρήγορα θα προκύψει ανάπτυξη και η μείωση της ανεργίας και η αύξηση των μισθών θα γίνει με τρόπο που θα είναι βιώσιμος και όχι σαν προεκλογική "σαπουνόφουσκα" που είναι οι αυξήσεις της κ. Αχτσιόγλου.
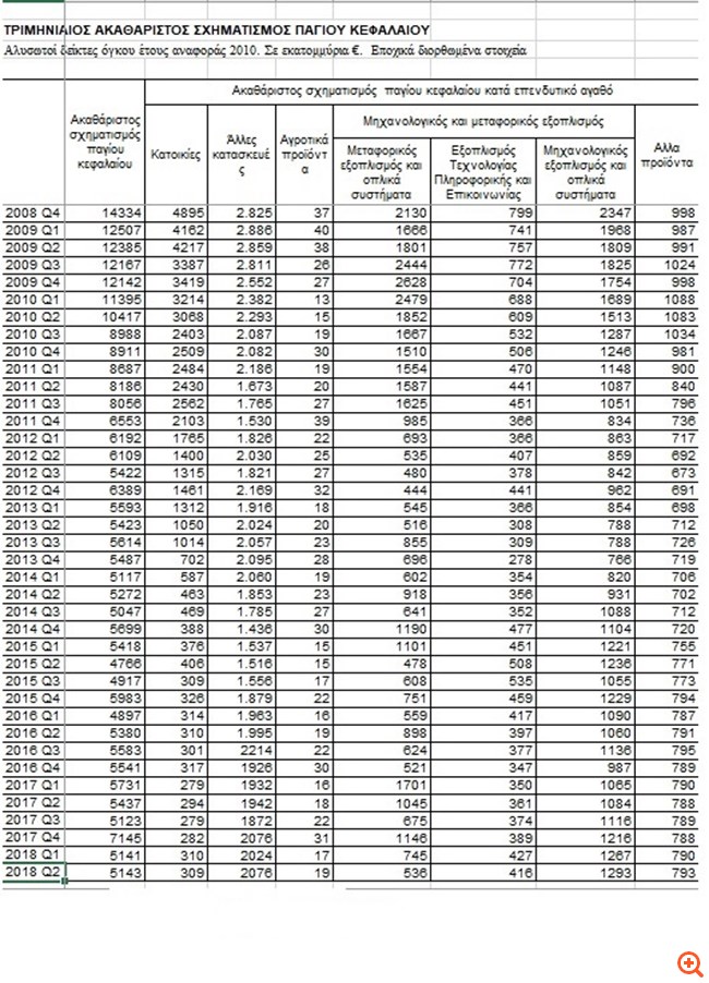
Ο βασικότερος δείκτης για να παρακολουθεί κάποιος πως πάνε οι επενδύσεις είναι ο Ακαθάριστος Σχηματισμός Παγίου Κεφαλαίου τον οποίο μπορεί κάποιος να παρακολουθεί εδώ: ΕΛΣΤΑΤ Ακαθάριστος σχηματισμός παγίου κεφαλαίου.
Το τελευταίο τρίμηνο (το δεύτερο του 2018) ο Ακαθάριστος Σχηματισμός Παγίου Κεφαλαίου μόλις ξεπερνούσε τα 5 δισ. ευρώ, όσο κατά μέσο όρο ήταν στα περισσότερα τρίμηνα μετά το 2010. Το 2008 πριν δηλαδή τη χρεοκοπία του 2010, το ποσό αυτό ανά τρίμηνο ήταν πάνω από 12 δισ. ευρώ και πάρα ταύτα χρεοκοπήσαμε.
Ένα ασφαλές σημάδι πως τα χειρότερα είναι οριστικά πίσω και καλύπτουμε το χαμένο έδαφος των τελευταίων ετών θα είναι όταν το ποσό αυτό ξεπεράσει τα 15-20 δισ. ευρώ το τρίμηνο.
Μην σας κοροϊδεύουν λοιπόν, ανάπτυξη χωρίς ουσιαστική αύξηση των επενδύσεων είναι σαν αυτοκίνητο που αναπτύσσει ταχύτητα με το ντεπόζιτο έτοιμο να αδειάσει.
Για να καταλάβετε τι συμβαίνει τώρα ο δείκτης αυτός καταγράφει τον ακαθάριστο σχηματισμό παγίων. Αν αφαιρέσουμε τις αποσβέσεις γιατί ο υπάρχων εξοπλισμός παλιώνει και σιγά-σιγά παροπλίζεται, ο πάγιος παραγωγικός εξοπλισμός της χώρας μειώνεται. Το 2015 και το 2016 π.χ. με ακαθάριστο σχηματισμό παγίου κεφαλαίου περί τα 20 δισ. τον χρόνο είχαμε αποσβέσεις περί τα 32 δισ. τον χρόνο. Δηλαδή, μείωση του πάγιου εξοπλισμού κατά 12 δισ. το χρόνο. Βλέπε: Προσέλκυση ξένων κεφαλαίων
Τούτο σημαίνει πως η οικονομία της χώρας συνεχίζει να βυθίζεται. Ακόμη και αν οι τράπεζες ήταν σε καλύτερη μοίρα από αυτήν που περιγράψαμε πιο πάνω, η βύθιση της οικονομίας δεν θα βοηθούσε να ελέγξουν τον ωκεανό "κόκκινων" δανείων που έχουν συσσωρεύσει.
Αν δεν γίνονται επενδύσεις οι αυξομειώσεις του ΑΕΠ και της ανεργίας είναι άνευ ουσίας και σημασίας και συναρτώνται κυρίως συγκυριακών διεθνών εξελίξεων όπως τα προγράμματα ποσοτικής χαλάρωσης και η πτώση της τιμής του πετρελαίου μετά το 2015 μέχρι το 2017.
Βλέπε: Περιμένουν να θερίσουν χωρίς να έχουν σπείρει...
Στα παραπάνω θεμελιώδη προβλήματα προσθέστε και το γεγονός πως η Ελλάδα έχει την υψηλότερη συνταξιοδοτική δαπάνη ως ποσοστό του ΑΕΠ στην Ε.Ε. και ενδεχομένως στον κόσμο. Η αναλογία συνταξιούχων εργαζομένων αντί 1 προς 4 είναι περί το 1 προς 1,4. Επίσης προσθέστε πως 500 χιλ. από τους πλέον ειδικευμένους νέους Έλληνες έχουν φύγει από τη χώρα και οι ετήσιοι θάνατοι ξεπερνούν τις ετήσιες γεννήσεις.
Κατά τα λοιπά ο κ. Τσακαλώτος ψάχνει να φέρει επενδύσεις από την Απω Ανατολή. Πάει δηλ. να πουλήσει ανάπτυξη 1% σε χώρες που έχουν ανάπτυξη 5-10%. Πιο εύκολο θα ήταν να πουλήσει πάγο σε Εσκιμώους ή άμμο στους "Σαχαριανούς"...
Μακάρι να κάνω λάθος...
-
20:35 Επέτειος Γρηγορόπουλου: Επεισόδια στο κέντρο της Αθήνας - Συλλήψεις και προσαγωγές
-
20:23 Λιθουανία: Έκλεισε το αεροδρόμιο του Βίλνιους λόγω "ύποπτων αερόστατων" στον εναέριο χώρο του
-
20:00 Γιατί ο Πούτιν δεν θέλει ειρήνη στην Ουκρανία
-
19:53 Τραγωδία ανοιχτά της νήσου Χρυσής νότια της Κρήτης - Εντοπίστηκαν 18 νεκροί αλλοδαποί
-
19:50 Η Αίγυπτος καλεί σε διάλογο μετά την κατάρρευση της συμφωνίας συνεργασίας Ιράν - ΔΟΑΕ
-
19:30 Ζελένσκι: Ουσιαστική η συνομιλία μου με τους απεσταλμένους των ΗΠΑ - Η Ουκρανία είναι αποφασισμένη για ειρήνη
-
19:15 Στα αγροτικά μπλόκα κλιμάκιο του ΠΑΣΟΚ
-
19:10 Νεκρός εργάτης στο εργοτάξιο του Ελληνικού
-
19:00 Στο μπλόκο των αγροτών στα Πράσινα Φανάρια ο πρόεδρος του ΣΥΡΙΖΑ Σ. Φάμελλος
-
18:48 Η Θεσσαλονίκη κόμβος ανάπτυξης της τεχνητής νοημοσύνης στη Ελλάδα και στην Ευρώπη – Ημερίδα με πρωτοβουλία του Ευρωβουλευτή της ΝΔ, Δ. Τσιόδρα
-
Κλείδωσαν οι πληρωμές των Χριστουγέννων – Ως 10 μέρες νωρίτερα οι συντάξεις και τα επιδόματα - Οι ημερομηνίες
-
Εστίαση δυο ταχυτήτων: Άδεια τραπέζια στις ταβέρνες - Ουρές στο street food
-
Σοβαρές οι ζημιές από τα πλήγματα των drones στο προστατευτικό κέλυφος του κατεστραμμένου πυρηνικού εργοστασίου στο Τσερνόμπιλ
-
Αποταμίευση: Ασφαλές καταφύγιο για τον Έλληνα η χρυσή λίρα
-
Καρκίνοι του γαστρεντερικού συστήματος: Τα ύποπτα συμπτώματα, οι μεγαλύτεροι παράγοντες κινδύνου και πώς θα μειώσουμε τον κίνδυνο
-
Υπερχείλισαν Πηνειός και Ενιπέας στη Θεσσαλία - Πλημμύρισαν χωριά του Δομοκού, κομμένο το οδικό δίκτυο και τα δρομολόγια των τρένων στο Λαμία - Λειανοκλάδι - "Κόκκινη λιμνοθάλασσα" το Καστελλόριζο
-
Μήπως αδικούμε τον Αλέξη Τσίπρα;
-
ΟΠΕΚΕΠΕ: Έλεγχος στον Μαγειρία το 2019 δεν βρήκε ζώα - Είχε γίνει αστυνομική έφοδος και για αρχαιοκαπηλία το 2015
-
Οι εργαζόμενοι της Zim καλούν το Τελ Αβιβ να μπλοκάρει την εξαγορά από τη Hapag-Lloyd
-
Η Εφορία αλλάζει: Ο ρόλος του ChatGPT και των Βig Data και τι σημαίνουν για τους φορολογούμενους
-
Μήπως αδικούμε τον Αλέξη Τσίπρα; (36)
-
Bloomberg: Μπροστά στο πιο δύσκολο στοίχημά της η Ευρώπη που προσπαθεί να αποφύγει τη ρήξη με τις ΗΠΑ (24)
-
Σοβαρές οι ζημιές από τα πλήγματα των drones στο προστατευτικό κέλυφος του κατεστραμμένου πυρηνικού εργοστασίου στο Τσερνόμπιλ (18)
-
Εστίαση δυο ταχυτήτων: Άδεια τραπέζια στις ταβέρνες - Ουρές στο street food (14)
-
ΟΠΕΚΕΠΕ: Έλεγχος στον Μαγειρία το 2019 δεν βρήκε ζώα - Είχε γίνει αστυνομική έφοδος και για αρχαιοκαπηλία το 2015 (10)
-
Αποταμίευση: Ασφαλές καταφύγιο για τον Έλληνα η χρυσή λίρα (9)
-
Κ. Κάλας: Οι ΗΠΑ παραμένουν ο μεγαλύτερος σύμμαχος της Ευρώπης (7)
-
Γιατί ο Πούτιν δεν θέλει ειρήνη στην Ουκρανία (6)
-
Επέτειος Γρηγορόπουλου: 17 χρόνια από τη δολοφονία – Συγκεντρώσεις και "δρακόντεια" μέτρα της αστυνομίας (4)
-
Υπερχείλισαν Πηνειός και Ενιπέας στη Θεσσαλία - Πλημμύρισαν χωριά του Δομοκού, κομμένο το οδικό δίκτυο και τα δρομολόγια των τρένων στο Λαμία - Λειανοκλάδι - "Κόκκινη λιμνοθάλασσα" το Καστελλόριζο (3)
ΣΧΕΤΙΚΑ ΑΡΘΡΑ

